Kondansatörler(sığaçlar) ya da diğer ismiyle kapasitörler, elektrik enerjisini elektrik alan olarak depolayan iki uçlu bir devre elemanlarıdır. Temelde iki adet iletken plakanın arasına yalıtkan bir madde koyulması ile elde edilir. Devrede ve denklemlerde C harfi ile gösterilir ve birimi Farad (F)‘dır.
Kondansatör Devre Sembolü
Kondansatör Ne İşe Yarar? Görevi Nedir?
Kondansatörler doğru akımı (DC) iletmeyip, alternatif akımı (AC) iletme özelliğine sahiptir. Bu özellikleri sayesinde çoğu devrede farklı amaçlar ile kullanılırlar. Güç kaynağı devrelerinde filtrelemede, rezonans devrelerinde istenilen frekansı üretmede ve güç aktarım hatlarında gerilim düzenlenmesi ve güç akışının kontrolünde kullanılırlar.
Kondansatör ,kapasitör ve sığaç aynı anlama gelmektedir. Yazının bundan sonraki kısımlarında herhangi birini kullanmış olabiliriz. ????
Kapasitörün iki adet iletken arasında yer alan yalıtkan ile oluşturulabileceğini söylemiştik.
Yalıtkan kısım boş olabileceği gibi dielektrik özelliğe sahip bir maddeden de oluşabilir (örneğin kağıt, cam, plastik, seramik, mika vs).
Kondansatörün Temel Yapısı
Kondansatörün Çalışma Prensibi
Kapasitöre gerilim uygulandığında iletken plakalar birbirlerine göre ters ve eşit değere sahip elektrik yükü ile yüklenirler. Bu durum, plakalar arasında bir elektrik alan oluşmasına sebep olur.
Bu iki plaka arasında yalıtkan maddeden dolayı herhangi bir yük akışı (elektrik akımı) olmaz.
Yük değişimi yalnızca kapasitörün iki ucu aracılığıya bağlı olduğu devre üzerinden gerçekleşebilir.
Kapasitör içerisindeki elektrik alan
Bir kapasitörün kapasitans değeri, plakalar arasındaki elektrik yükünün (birimi Coulomb’dur) plakalar arasında oluşan gerilime (Volt) oranıdır. Yani Farad biriminin boyutu Coulomb/Volt’tur.
Elektrik devrelerinde çoğunlukla Farad’ın trilyonda biri (pikofarad, pF), milyarda biri (nanofarad, nF) ve milyonda biri (mikrofarad µF) mertebelerinde kapasiteye sahip kapasitörler kullanılır.
Elektrolitik kapasitörler (solda) genellikle mikrofaradlar mertebesinde, seramik kapasitörler ise (sağda) genellikle nanofarad ve pikofaradlar mertebesindedir.
Kapasitör fiyatları, maksimum çalışma gerilimi, kapasite değeri, kapasitörün üretildiği malzeme gibi faktörlere bağlı olarak değişmektedir. 0,08TL’den başlayıp, 22,13TL’ye kadar çıkmaktaktadır.
Kondansatörlerin Kullanım Alanları, Nerelerde Kullanılır?
Farklı tipteki kapasitörler, elektrik devrelerinde değişik amaçlarda kullanılırlar.
Kondansatör Çeşitleri
Seramik kapasitör: Şekillerinden dolayı aynı zamanda mercimek kapasitör ismiyle de anılırlar. Ses ve RF devrelerinde tercih edilir. Pikofaraddan 0.1 mikrofarada kadar kapasitelere sahiplerdir. Ucuz ve güvenilir olmalarından dolayı en sık tercih edilen tipteki kapasitörler arasında yer alırlar.
Elektrolit kapasitör: Polarize tipte (kutuplu) kapasitörlerdir. Yüksek kapasite değerlerini sağlayabilirler (çoğunlukla 1µF ve üzeri). Silindirik yapıdadırlar. Sıklıkla güç kaynağı devreleri ve ses devrelerinde ayırma (decoupling) gibi düşük frekans işlerinde kullanılırlar. SMD (Surface Mount Device – devre kartının yüzeyine lehimlenen) tipte veya through-hole (devre kartındaki deliklere lehimlenecek şekilde) tipte çeşitleri mevcuttur.
Tantal kapasitör: Tıpkı elektrolit kondansatörler gibi tantal kapasitörler de kutuplu yapıdadır. Boyutlarına oranla yüksek kapasite değerleri sunabilirler. Tantal kapasitörlerin ters gerilime toleransları çok düşüktür, yüksek dalgalanma akımları ve gerilimlerine maruz kaldıklarında veya yüksek stres altında patlayabilirler. Bu kapasitörler de SMD ve standart tipte üretilebilirler.
Mika kapasitör: Günümüzde çok fazla kullanılmasa da, yüksek stabiliteye sahip olmaları ve yüksek frekansta çalışabilmeleri sebebiyle boyut kısıtı olmayan RF devrelerinde kullanılırlar. Maksimum 1000pF civarında kapasiteye sahiptirler.
Trimer kapasitör: Kapasite değeri bir tornavida aracılığıyla değiştirilebilen tipteki kapasitörlerdir. Genellikle ekipmanların kalibrasyonu için kullanılırlar. Hassasiyet ve toleransları oldukça düşük olduğundan genellikle son kullanıcı ürünlerinde tercih edilmezler. Çoğunlukla en düşük 0.5 – 10pF ve en yüksek 1 – 120pF arasında değişebilen kapasiteye sahip tipleri mevcuttur.
Süper kapasitör: Süper kapasitörler (ultra kapasitör ismiyle de anılır), 12kF (=12.000 Farad) gibi çok yüksek kapasite değerlerine sahip olabilen kapasitörlerdir. Tipik bir elektrolitik kapasitörün birim hacimde depoladığı enerjinin yaklaşık 10 ile 100 katı kadarını depolarlar. Bu yüksek kapasiteyi elde etmek için klasik olarak kullanılan dielektrik malzeme yerine ikili mekanizmaya sahiptirler. Bunlardan birisi elektrostatik, diğeri de elektrokimyasal prensip ile çalışır. Süper kapasitörler şarj edilebilir bataryaların yerini alması için tasarlanmıştır. Elektrikli araçlarda rejeneratif frenleme ile üretilen enerjiyi depolamada kullanılırlar.
Kapasitör Seçimi Nasıl Yapılır?
Kondansatör çeşitleri
Devremizde kullanacağımız kondansatörü seçerken dikkat etmemiz gereken belirli kriterler vardır.
Kapasite değeri: Kapasitörler büyük çoğunlukla 1 pikofarad (1pF = 1 x 10^-12 F) ile 100.000mF (1 mF = 1 x 10^-3 F) arasında değerlerde üretilir. Dikkat etmeniz gereken nokta, her tipte kapasitörün farklı değer aralıklarında üretilmesidir.
Çalışma gerilimi: Devrenizde kullanacağınız kapasitörün, gerilim değerine uygun olarak seçilmesi gereklidir. Dikkat etmeniz gereken nokta ise, en azından %25 kadarlık bir ekstra pay ile tercih yapmanızdır. Örneğin 5V ile çalışan bir devre için 5V maksimum gerilim değerine sahip bir kapasitör kullanmak mantıklı olmayacaktır. Not: Bozulan devrelerinizdeki kapasitörleri her zaman için daha yüksek gerilim değerine sahip kapasitörler ile değiştirmeniz mümkündür.
Polarizasyon: Tantal ve elektrolit kapasitörler + ve – kutuplarına sahip olarak üretilir. Devreye bağlarken bu kutuplara dikkat etmeniz gerekir.
Tolerans: Osilatör devreleri gibi devreler, yüksek hassasiyetle üretilmiş, tam değerini sağlayabilen kapasitörler ile kullanılmalıdır. Aksi takdirde devre istenilen çıkışı veremeyebilir.
Sıcaklık katsayısı: Tüm fiziksel devre elemanları gibi, kapasitörlerin değerleri de sıcaklığa bağlı olarak değişmektedir. Bu değişim, tempco ifadesiyle ppm/°C cinsinden belirtilir. Sıcaklığa bağlı olarak kapasite artabileceği gibi, tam tersi durum da söz konusu olabilmektedir.
Kaçak akım: Bazı kapasitör tiplerinde, dielektrik madde üzerinden belirli bir miktarda kaçak akım geçişi olmakta ve bu sebeple normal deşarj süresinden daha kısa sürede deşarj olma durumu olabilmektedir. Tantal kapasitörler düşük kaçak akıma sahip olacak şekilde üretilebilmekte ve bu tipteki kapasitörler zamanlama devrelerinde tercih edilmektedir.
Kapasitör Ölçümü Nasıl Yapılır? Ölçüm ve Hesaplama
Kapasitörün ölçü birimi farad‘dır. Kapasite değeri, kapasitörün yüklendiği birim elektrik yükünün gerilim olarak değişimi olarak tanımlanabilir.
Farad, Uluslararası Birim Sistemi’ne göre 1 coulomb (C) / volt (V) olarak belirlenmiştir. Farad biriminin başına SI ölçü sistemi katsayıları (piko, nano, mikro, mili vb.) kullanılır.
Bir kapasitörün değerini ölçmek için LCR metre isimli cihaz kullanılmalıdır. LCR metre, indüktör (L), kapasitör (C) ve direnç (R) ölçümü yapabilmektedir, ismini bu devre elemanlarının harf gösterimlerinden almıştır.
LCR Metre
LCR metreler, ölçüm yapılan devre elemanına bir AC gerilim uygulayarak, gerilim ile akım arasındaki faz farkını ölçer. Cihazın uyguladığı gerilimin frekansı bilindiğinden, empedans aracılığıyla kapasite değeri hesaplanabilir.
Kapasitörün Devreye Bağlanış Biçimleri
Diğer tüm iki uçlu devre elemanları gibi kapasitörler de elektrik devrelerinde paralel veya seri bağlı olabilirler.
Birden çok kapasiörün paralel bağlı olması durumunda, kapasitans değerleri toplanır:
Paralel bağlı kondansatör devresiParalel Bağlı Kondansatör Hesabı
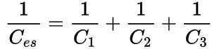
Kapasitörlerin seri bağlı olduğu durumda ise, eşdeğer kapasitenin çarpmaya göre tersi, her bir kapasite değerinin çarpmaya göre tersinin toplamına eşit olur:
Seri Bağlı KondansatörlerSeri Bağlı Kondansatör Formülü
Kapasitör Formülleri
Elektrik akımı, birim zamandaki yük değişimi olarak tanımlandığından, kapasitörün akımı aşağıdaki formül ile gösterilebilir:
Kondansatör Akım Formülü
Önceki bölümden hatırladığımız üzere kapasite, birim elektrik yükünün kapasitör uçlarında oluşturduğu gerilim farkı olarak tanımlanmaktaydı (C = Q / V). Bu sayede yük değişimini kapasite ve gerilim cinsinden ifade edebilmekteyiz.
Kapasitör Değeri Okuma
Elektrolitik kapasitörlerin üzerlerinde gerilim ve kapasite değerleri yazılıdır. Fakat seramik kapasitörler üzerinde 3 rakamlı bir kod bulunur. Bu kodun ilk iki hanesi kapasite değerini, yanındaki numara da katsayıyı temsil eder.
Bu değerlerin çarpılması ile pikofarad cinsinden kapasite değeri bulunur: